แนวข้อสอบ A-level ม. 6 คณิตศาสตร์ ชุดที่ 1
ข้อที่ 4.
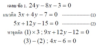
ถ้า L เป็นสมการเส้นตรงที่ผ่านจุดตัดของเส้นตรง 3x + 4y − 7 = 0 และ 5x +12y −15 = 0 และตั้งฉากกับเส้นตรง 3x + y − 5 = 0 แล้ว สมการเส้นตรง L เท่ากับข้อใด
เฉลย


