แนวข้อสอบ A-level คณิตศาสตร์ ม. 6 ชุดที่ 3
ข้อที่ 16.
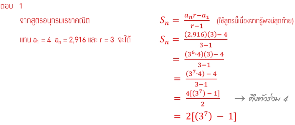
ผลบวกของพจน์ทุกพจน์ของลำดับเรขาคณิต 4 , 12 , 36 , 108 , ... , 2,916 เท่ากับเท่าใด
เฉลย

ทบทวนบทเรียน
