แนวข้อสอบ กสพท. คณิตศาสตร์ (PAT 1) ชุดที่ 2
Cancel
ติดต่อเรา
login
|
register
Home
Education
Classroom
Knowledge
Blog
TV
ธรรมะ
กิจกรรม
โครงการทรูปลูกปัญญา
หน้าแรกโครงการ
เปิดโลกทัศน์การเรียนรู้ฯ
โรงเรียนต้นแบบ
White Net School
3G เพื่อโรงเรียนและชุมชน
หน้าแรก Plook Dharma
ข่าวธรรมะ
สามเณรปลูกปัญญาธรรม
ปลูกปัญญาธรรม พุทธเรดิโอ
ค่ายวัยใส
บทความธรรม
คลิปธรรม
เสียงธรรม
บทสวดมนต์
วัดและสถานที่ปฏิบัติธรรม
Dharma Quote (ธรรมโฆษณ์)
เว็บบอร์ด
หน้าแรกกิจกรรม
TruePlookpanya on Tour
English We Can
นักวิทย์น้อยทรู
True Future Journalist Award
True Young Producer Award
สัตว์มีค่า ป่ามีคุณ
ทรูอาสา
หน้าแรก TV
ข่าวและกิจกรรม
รายการออนไลน์
รายการย้อนหลัง
ผังรายการ
หน้าแรก Plook Education
ข่าวการศึกษา
Classroom
Upskill
คลังบทเรียน
หน้าแรก Plook Learning
ปฐมวัย
ประถมศึกษา
มัธยมศึกษา
สอนศาสตร์
คลังข้อสอบ
ประถมศึกษาตอนต้น
ประถมศึกษาตอนปลาย
มัธยมศึกษาตอนต้น
มัธยมัธยมศึกษาตอนปลาย
Smart Exams
แนะแนว
หน้าแรกแนะแนว
ค้นหาตัวเอง
คณะและสาขาวิชา
อาชีพ
เว็บบอร์ด
TCAS
หน้าแรก TCAS
ข่าวรับตรง
ข่าวค่าย
TCAS Plan
Admissions Gang
Admissions School Tour
สอบตรง
GAT/PAT
9 วิชาสามัญ
O-NET
ครู
หน้าแรก Plook Teacher
การจัดการเรียนรู้
แผนการสอน
ผลงานวิชาการ
โครงการทรูปลูกปัญญา
All menu
home
Education
Knowledge
Blog
TV
ธรรมะ
กิจกรรม
Cancel
login
|
register
หน้าแรกโครงการ
เปิดโลกทัศน์การเรียนรู้ฯ
โรงเรียนต้นแบบ
White Net School
3G เพื่อโรงเรียนและชุมชน
หน้าแรก Plook Dharma
ข่าวธรรมะ
สามเณรปลูกปัญญาธรรม
ปลูกปัญญาธรรม พุทธเรดิโอ
ค่ายวัยใส
บทความธรรม
คลิปธรรม
เสียงธรรม
บทสวดมนต์
วัดและสถานที่ปฏิบัติธรรม
Dharma Quote (ธรรมโฆษณ์)
เว็บบอร์ด
หน้าแรกกิจกรรม
TruePlookpanya on Tour
English We Can
นักวิทย์น้อยทรู
ค่ายเยาวชนทรู
True Young Producer Award
สัตว์มีค่า ป่ามีคุณ
ทรูอาสา
หน้าแรก TV
ข่าวและกิจกรรม
รายการออนไลน์
รายการย้อนหลัง
ผังรายการ
หน้าแรก Plook Education
ข่าวการศึกษา
Classroom
Upskill
คลังบทเรียน
หน้าแรก Plook Learning
ปฐมวัย
ประถมศึกษา
มัธยมศึกษา
สอนศาสตร์
คลังข้อสอบ
ปฐมวัย
ประถมศึกษา
มัธยมศึกษา
Smart Exams
แนะแนว
หน้าแรกแนะแนว
ค้นหาตัวเอง
คณะและสาขาวิชา
อาชีพ
เว็บบอร์ด
TCAS
หน้าแรก TCAS
ข่าวรับตรง
ข่าวค่าย
TCAS Plan
Admissions Gang
Admissions School Tour
สอบตรง
GAT/PAT
9 วิชาสามัญ
O-NET
ครู
หน้าแรก Plook Teacher
การจัดการเรียนรู้
แผนการสอน
ผลงานวิชาการ
โครงการทรูปลูกปัญญา
EDUCATION
หน้าแรก Plook Education
ข่าวการศึกษา
Classroom
Upskill
คลังบทเรียน
หน้าแรก Plook Learning
ปฐมวัย
ประถมศึกษา
มัธยมศึกษา
สอนศาสตร์
คลังข้อสอบ
ปฐมวัย
ประถมศึกษา
มัธยมศึกษา
Smart Exams
แนะแนว
หน้าแรกแนะแนว
ค้นหาตัวเอง
คณะและสาขาวิชา
อาชีพ
เว็บบอร์ด
TCAS
หน้าแรก TCAS
ข่าวรับตรง
ข่าวค่าย
TCAS Plan
Admissions Gang
Admissions School Tour
สอบตรง
GAT/PAT
9 วิชาสามัญ
O-NET
ครู
หน้าแรก Plook Teacher
การจัดการเรียนรู้
แผนการสอน
ผลงานวิชาการ
โครงการทรูปลูกปัญญา
TV
หน้าแรก TV
ข่าวและกิจกรรม
รายการออนไลน์
รายการย้อนหลัง
ผังรายการ
Classroom
หน้าแรก Classroom
KNOWLEDGE
หน้าแรก Plook Knowledge
FRIENDS
หน้าแรก Plook Friends
ธรรมะ
หน้าแรก Plook Dharma
ข่าวธรรมะ
สามเณรปลูกปัญญาธรรม
ปลูกปัญญาธรรม พุทธเรดิโอ
ค่ายวัยใส
บทความธรรม
คลิปธรรม
เสียงธรรม
บทสวดมนต์
วัดและสถานที่ปฏิบัติธรรม
Dharma Quote (ธรรมโฆษณ์)
เว็บบอร์ด
PLOOK MAGAZINE
หน้าแรก Plook Magazine
อ่านย้อนหลัง
กิจกรรม
TruePlookpanya on Tour
English We Can
นักวิทย์น้อยทรู
ค่ายเยาวชนทรู
True Young Producer Award
สัตว์มีค่า ป่ามีคุณ
ทรูอาสา
Blog
หน้าแรก Plook Blog
เขียน Blog
โครงการทรูปลูกปัญญา
หน้าแรกโครงการ
เปิดโลกทัศน์การเรียนรู้ฯ
โรงเรียนต้นแบบ
White Net School
3G เพื่อโรงเรียนและชุมชน
About us
ทรูปลูกปัญญา
ทรูปลูกปัญญา
แจ้งปัญหาการใช้งาน
ติดต่อเรา
Partnership
Login
|
Register
Home
Education
หน้าแรก Plook Education
ข่าวการศึกษา
คลังบทเรียน
หน้าแรก Plook Learning
ปฐมวัย
ประถมศึกษา
มัธยมศึกษา
สอนศาสตร์
คลังข้อสอบ
คลังข้อสอบ
ปฐมวัย
ประถมศึกษา
มัธยมศึกษา
Smart Exams
แนะแนว
หน้าแรกแนะแนว
ค้นหาตัวเอง
คณะและสาขาวิชา
อาชีพ
เว็บบอร์ด
Admissions
หน้าแรก TCAS
ข่าวรับตรง
ข่าวค่าย
TCAS Plan
Admissions Gand
Admissions School Tour
สอบตรง
GAT/PAT
9 วิชาสามัญ
O-NET
ครู
หน้าแรก Plook Teacher
การจัดการเรียนรู้
แผนการสอน
ผลงานวิชาการ
โครงการทรูปลูกปัญญา
Classroom
Knowledge
Blog
TV
หน้าแรก TV
ข่าวและกิจกรรม
รายการออนไลน์
รายการย้อนหลัง
ผังรายการ
ธรรมะ
หน้าแรก Plook Dharma
ข่าวธรรมะ
สามเณรปลูกปัญญาธรรม
ปลูกปัญญาธรรม พุทธเรดิโอ
ค่ายวัยใส
บทความธรรม
คลิปธรรม
เสียงธรรม
บทสวดมนต์
วัดและสถานที่ปฏิบัติธรรม
Dharma Quota (ธรรมโฆษณ์)
เว็บบอร์ด
กิจกรรม
TruePlookpanya On Tour
English We Can
นักวิทย์น้อยทรู
ค่ายเยาวชนทรู
True Young Product Award
สัตว์มีค่า ป่ามีคุณ
ทรูอาสา
โครงการทรูปลูกปัญญา
หน้าแรกโครงการ
เปิดโลกทัศน์การเรียนรู้ฯ
โรงเรียนต้นแบบ
White Net School
3G เพื่อโรงเรียนและชุมชน
ติดต่อเรา
แจ้งปัญหาการใช้งาน
แนวข้อสอบ กสพท. คณิตศาสตร์ (PAT 1) ชุดที่ 2
ทำข้อสอบอีกครั้ง
22% Complete
6 of 45
1
2
3
4
5
6
7
8
9
10
11
12
13
14
15
16
17
18
19
20
21
22
23
24
25
26
27
28
29
30
31
32
33
34
35
36
37
38
39
40
41
42
43
44
45
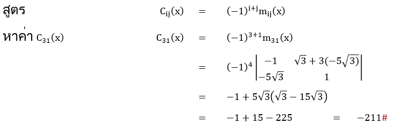
ข้อที่ 6.
ตัวเลือกที่ 1 :
-211
ตัวเลือกที่ 2 :
-112
ตัวเลือกที่ 3 :
112
ตัวเลือกที่ 4 :
211
ตัวเลือกที่ 5 :
225
Previous
Next
เฉลย
ตอบ ข้อ 1