แนวข้อสอบ กสพท. คณิตศาสตร์ (PAT 1) ชุดที่ 2
ข้อที่ 5.
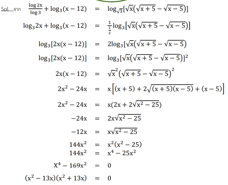
จงหา x ที่สอดคล้องกับสมการ

มีค่าอยู่ในสับเซตในข้อใดต่อไปนี้
เฉลย
ตอบ ข้อ 3


