แนวข้อสอบ กสพท. คณิตศาสตร์ (PAT 1) ชุดที่ 2
ข้อที่ 45.
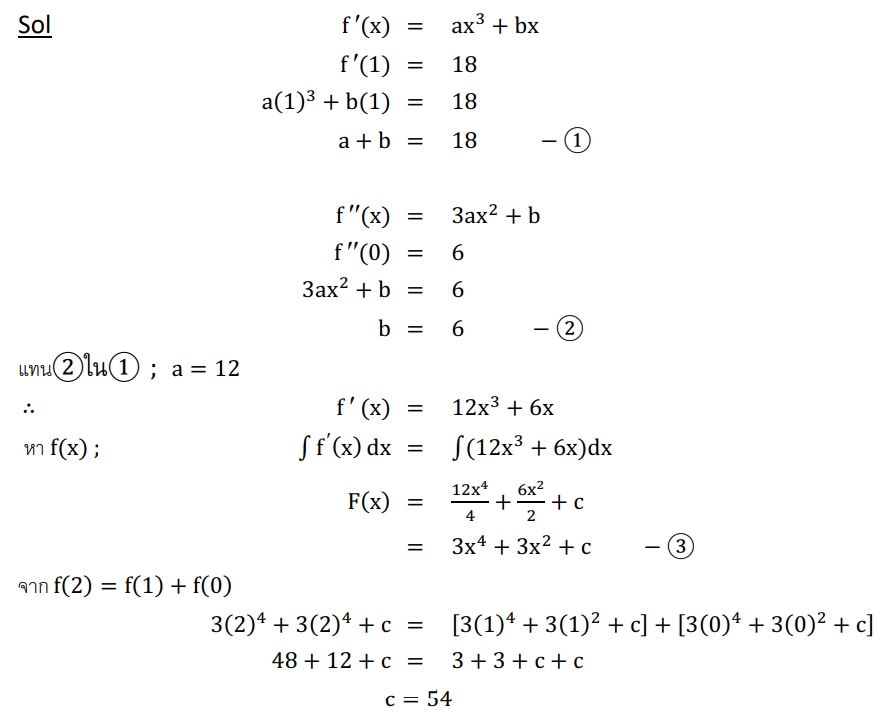
ให้ f เป็นฟังก์ชันซึ่งมี Df และ Rf เป็นสับเซตของจำนวนจริง โดย f'(x) = ax3 + bx เมื่อ a, b ∈ R และให้ g(x) = f(x)(x3 + 2x) ถ้า f'(1) = 18, f"(0) = 6 และ f(2) = f(0) + f(1) แล้วค่าของ g'(1) เท่ากับเท่าไร
เฉลย
ตอบ ข้อ 5


