แนวข้อสอบ กสพท. คณิตศาสตร์ (PAT 1) ชุดที่ 2
ข้อที่ 44.
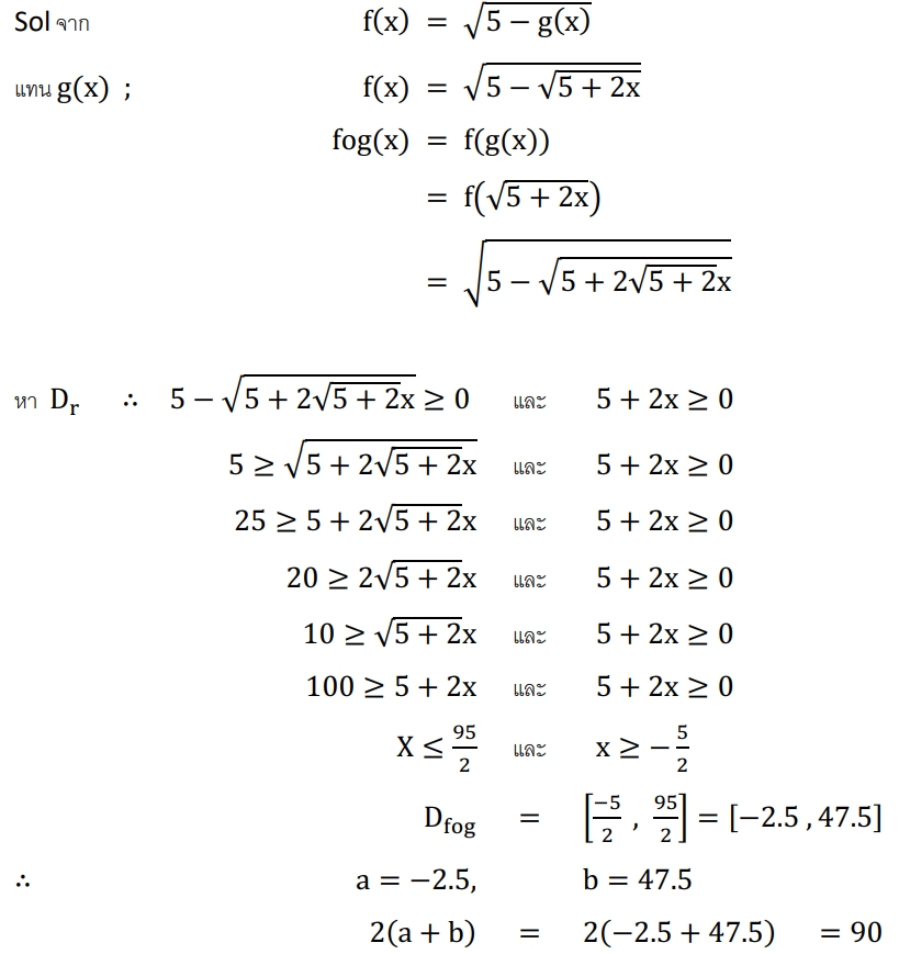
กำหนดให้
โดยที่
ถ้า
แล้ว 2(a + b) มีค่าเท่ากับเท่าใด
เฉลย
ตอบ ข้อ 5

