แนวข้อสอบ กสพท. คณิตศาสตร์ (PAT 1) ชุดที่ 2
ข้อที่ 40.
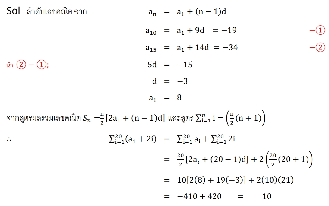
ถ้าลำดับเลขคณิต a1, a2, ... มีพจน์ที่ 10 และพจน์ที่ 15 เป็น -19 และ -34 ตามลำดับแล้ว
เท่ากับข้อใด
เฉลย
ตอบ ข้อ 2

