แนวข้อสอบ กสพท. คณิตศาสตร์ (PAT 1) ชุดที่ 2
ข้อที่ 4.
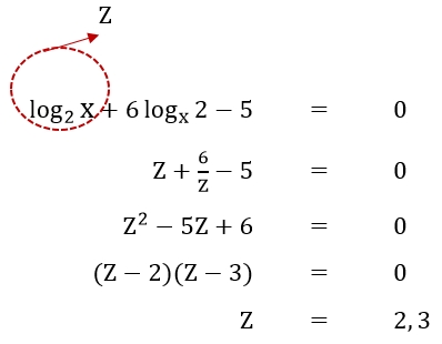
กำหนดให้


ข้อใดถูกต้อง
เฉลย
ตอบ ข้อ 5


