แนวข้อสอบ กสพท. คณิตศาสตร์ (PAT 1) ชุดที่ 2
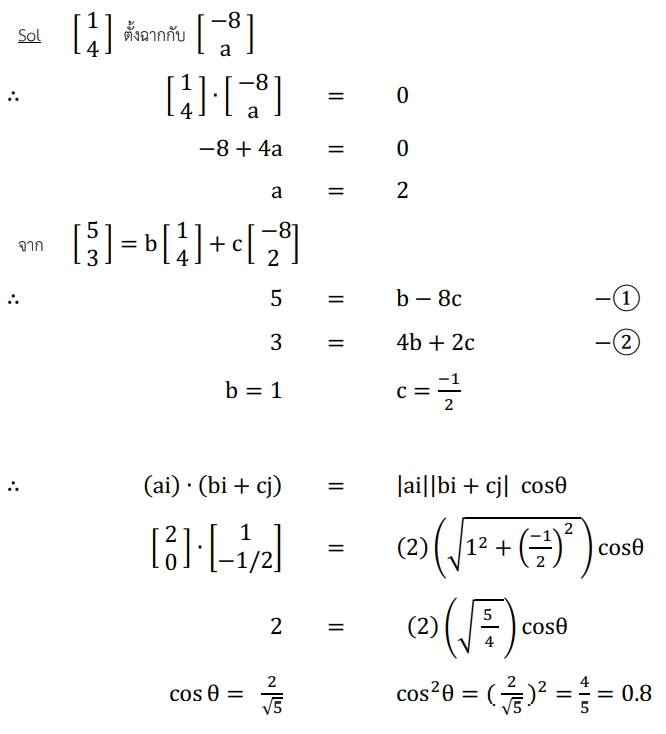
ข้อที่ 37.
กำหนดให้เวกเตอร์
ตั้งฉากกับเวกเตอร์
และ 5i + 3j = b(i + 4j) + c(8i + aj) ถ้า θ เป็นมุมระหว่างเวกเตอร์ ai และ bi + cj แล้ว cos2θ เท่ากับเท่าใด
เฉลย
ตอบ ข้อ 3

