แนวข้อสอบ กสพท. คณิตศาสตร์ (PAT 1) ชุดที่ 2
ข้อที่ 35.
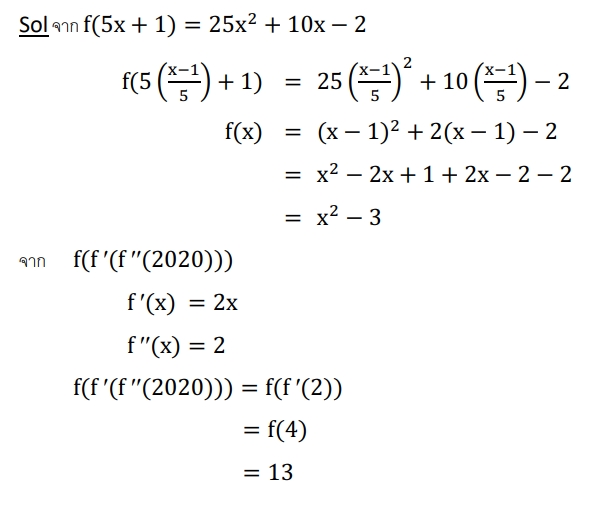
กำหนดให้ f เป็นฟังก์ชันซึ่งมีโดเมนและเรนจ์เป็นสับเซตของจำนวนจริง
โดยที่ f(5x + 1) = 25x2 + 10x - 2 จงหาค่าของ f(f'(f"(2020))) เท่ากับเท่าใด
เฉลย
ตอบ ข้อ 5

