แนวข้อสอบ กสพท. คณิตศาสตร์ (PAT 1) ชุดที่ 2
ข้อที่ 34.
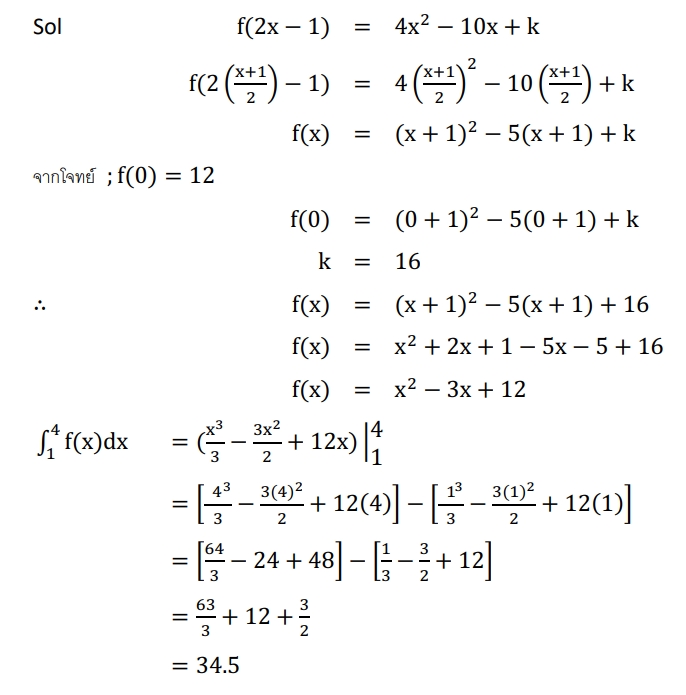
ให้ f เป็นฟังก์ชันซึ่งมีโดเมนและเรนจ์เป็นสับเซตของจำนวนจริง โดยที่
f(2x - 1) = 4x2 - 10x + k เมื่อ k ∈ R และ f(0) = 12
เท่ากับเท่าใด
เฉลย
ตอบ ข้อ 5

