แนวข้อสอบ กสพท. คณิตศาสตร์ (PAT 1) ชุดที่ 2
ข้อที่ 31.
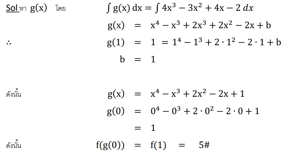
กำหนด f'(x) = 3x2 + 2x + a โดยที่ f(1) = 5
g'(x) = 4x3 - 3x2 + 4x - 2 โดยที่ g(1) = 1
ดังนั้น จงหาค่าของ f(g(0))
เฉลย
ตอบ ข้อ 4

