แนวข้อสอบ กสพท. คณิตศาสตร์ (PAT 1) ชุดที่ 2
ข้อที่ 30.
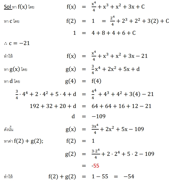
กำหนด f เป็น ฟังก์ชัน ต่อเนื่องโดยที่ f'(x) = x3 + 3x2 + 2x + 3 โดย f(2) = 1 และ g'(x) = 3x3 + 4x + 5 โดย g(4) = f(4) จงหา f(2) + g(2)
เฉลย
ตอบ ข้อ 3

