แนวข้อสอบ กสพท. คณิตศาสตร์ (PAT 1) ชุดที่ 2
ข้อที่ 28.
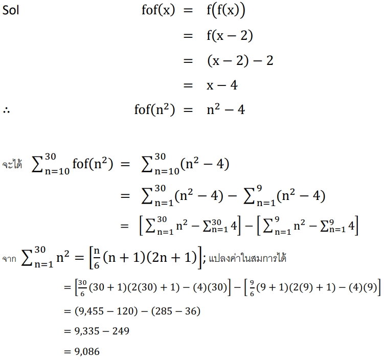
f(x) = x - 2 แล้ว
มีค่าเท่ากับเท่าใด
เฉลย
ตอบ ข้อ 2

