แนวข้อสอบ กสพท. คณิตศาสตร์ (PAT 1) ชุดที่ 2
ข้อที่ 21.
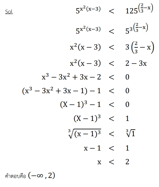
เซตคำตอบของอสมการ
เป็นซับเซตของเซตในข้อใดต่อไปนี้
เฉลย
ตอบ ข้อ 1

