แนวข้อสอบ กสพท. คณิตศาสตร์ (PAT 1) ชุดที่ 2
ข้อที่ 2.
กำหนดให้ 

ผลบวกของสมาชิกทั้งหมดของเซต A และ B มีค่าเท่ากับเท่าไร
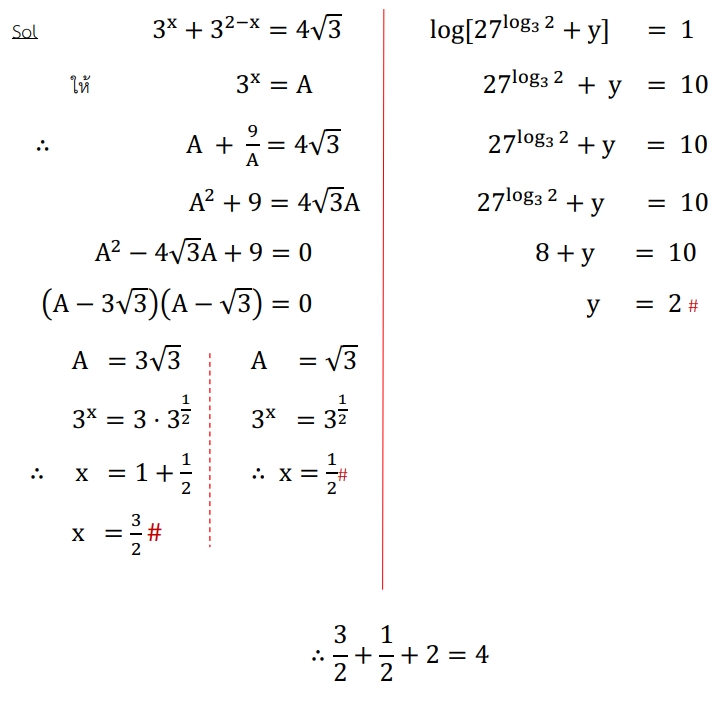
เฉลย
ตอบ ข้อ 4

