แนวข้อสอบ กสพท. คณิตศาสตร์ (PAT 1) ชุดที่ 2
ข้อที่ 17.
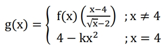
กำหนดให้ f และ g เป็นฟังก์ชันต่อเนื่องที่จุด x = 4 และ

โดยที่ k เป็นค่าคงตัว ถ้ากราฟของ f ตัดเส้นตรง y = x + 1 ที่จุด x = 4 แล้ว k อยู่ในช่วงใดต่อไปนี้
เฉลย
ตอบ ข้อ 3
f ตัดเส้นตรง y = x + 1 ที่จุด x = 4


ตอบ ข้อ 3 เพราะ -1 อยู่ในช่วงระหว่าง -2 ถึง 0
