แนวข้อสอบ กสพท. คณิตศาสตร์ (PAT 1) ชุดที่ 2
ข้อที่ 10.
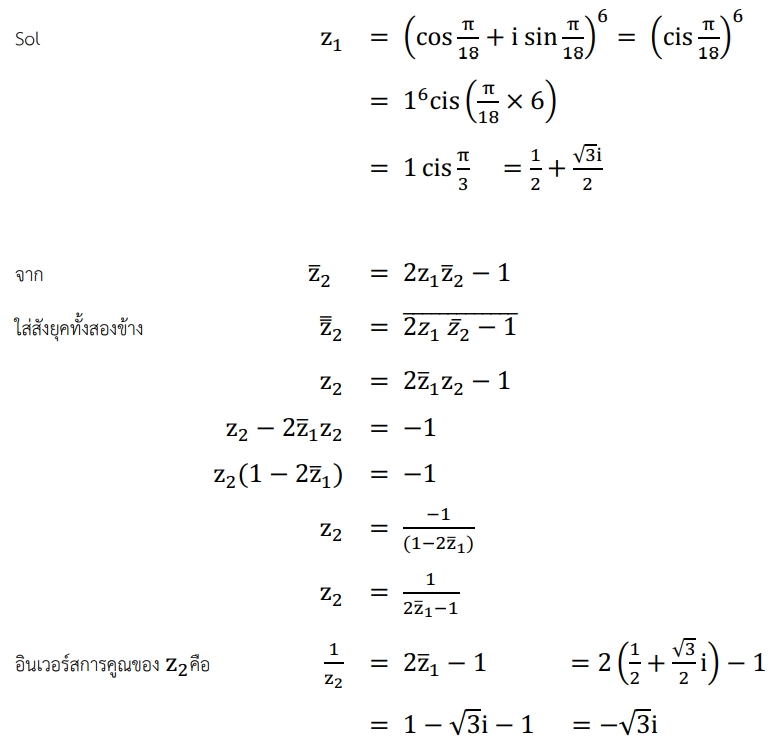
กำหนดให้ z1 และ z2 เป็นจำนวนเชิงซ้อนที่ 
และ
ข้อใดต่อไปนี้คืออินเวอร์สการคูณของ z2
เฉลย
ตอบ ข้อ 4

