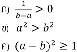
กำหนดให้ a และ b เป็นจำนวนจริง โดยที่ a > b พิจารณาข้อความต่อไปนี้

ตอบ 3
เทคนิคในการทำข้อนี้ คือ ทดลองสมมุติ เลข a และ b แล้วนำไปแทนค่า เพื่อหาจุดที่ผิดของข้อความ
ก) จาก
ลองสมมุติ ให้ a = -2 และ b = -3 ตามเงื่อนไข a > b
จะได้ว่า

ดังนั้น ข้อ ก) ไม่ถูกต้อง (ถ้าน้อง ๆ สมมุติให้เป็น จำนวนบวกทั้งคู่ จะได้เป็นจริง แต่จะผิด เพราะ มันไม่จริง 100%)
ข) จาก a2 > b2 ลองสมมุติ ให้ a = -2 และ b = -3 ตามเงื่อนไข a > b
จะได้ว่า (-2)2 > (-3)2
4 > 9 (ไม่เป็นจริง)
ดังนั้น ข้อ ข) ไม่ถูกต้อง (ถ้าน้องๆ สมมุติให้เป็น จำนวนบวกทั้งคู่ จะได้เป็นจริง แต่จะผิด เพราะ มันไม่จริง 100%)
ค) จาก (a - b)2 ≥ 1
ลองสมมุติ ให้ a = -2 และ b = -3 ตามเงื่อนไข a > b
จะได้ว่า (-2 - (-3))2 ≥ 1
(-2 + 3)2 ≥ 1
(1)2 ≥ 1
1 ≥ 1 (เป็นจริง)
ลองสมมุติ ให้ a = 5 และ b = 2 ตามเงื่อนไข a > b
จะได้ว่า (5 - 2)2 ≥ 1
32 ≥ 1
9 ≥ 1 (เป็นจริง)
ลองสมมุติ ให้ a = 0 และ b = -9 ตามเงื่อนไข a > b
จะได้ว่า (0 - (-9))2 ≥ 1
(0 + 9)2 ≥ 1
92 ≥ 1
81 ≥ 1 (เป็นจริง)
ดังนั้น ข้อ ค) ถูกต้อง (ไม่ว่าน้อง ๆ จะสมมุติให้เป็น จำนวนจริงใด ๆ ก็จะได้ผลเป็นจริง 100%)
