ข้อสอบ O-NET วิทยาศาสตร์ ม.3 ชุด 3
ข้อที่ 35.
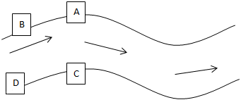
ภาพแสดงพื้นดินริมฝั่งแม่น้ำ

จุดใดมีความเร็วและกระแสน้ำมากที่สุด
เฉลย
ตอบ ข้อ ข้อ1 A เป็นจุดที่มีความเร็วกระแสน้ำไหลผ่านมากที่สุด เนื่องจากเป็นทางโค้ง
