ข้อสอบวิชาสามัญ คณิตศาสตร์ ปี 2556 โดย Rath Center
ข้อที่ 4.
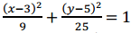
ในระบบพิกัดฉากที่มี O เป็นจุดกำเนิด วงรีรูปหนึ่งมีสมการเป็น
ถ้า F1 และ F2 เป็นจุดโฟกัสของวงรีรูปนี้ โดยที่ OF1 > OF2 แล้วระยะทางจากจุด F2 ไปยังเส้นตรงที่ผ่านจุด F1 และ (0, 5) เท่ากับข้อใดต่อไปนี้
