ข้อสอบวิชาสามัญ คณิตศาสตร์ ปี 2556 โดย Rath Center
ข้อที่ 14.
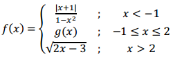
กำหนดให้ g(x) เป็นฟังก์ชันซึ่งมีอนุพันธ์ที่ทุกจุด และ
ถ้า ƒ ต่อเนื่องที่ทุกจุด แล้ว
มีค่าเท่ากับข้อใดต่อไปนี้
