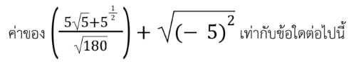
ข้อที่ 1.
1
-5
2
-4
3
4
4
5
5
6