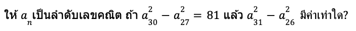
ข้อที่ 1.
1
108
2
121
3
144
4
169
5
179